Density and tightness design
The relative relationship between the warp and weft density of the fabric and the warp and weft density is one of the main factors affecting the fabric structure. It directly affects the style and physical and mechanical properties of the fabric. Obviously, if the density of warp and weft yarns is high, the fabric will appear tight, thick, stiff, wear-resistant, and strong; if the density is low, the fabric will be thin, soft, and permeable. The ratio between warp density and weft density also has a great influence on the performance of the fabric. Generally speaking, the yarn with higher density in the fabric has a greater degree of buckling, and the effect of the yarn with that yarn appears on the surface of the fabric. In addition, the ratio of warp and weft density is different, and the fabric style is also different, such as plain cloth and poplin, twill, serge, gabardine and khaki, etc.
There are many ways to determine the density and tightness of fabrics. The following are commonly used.
1. Theoretical calculation method
1. Tightness structure theory
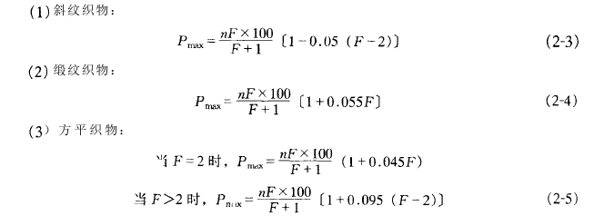
The disadvantage of this calculation method is that it does not take into account the organization of the entire fabric, that is, when the average floating length F of the organization points of the fabric is the same but the fabric organization is different, the Methods cannot be treated differently. If the factor of fabric structure change is taken into account, the above formula can be modified to obtain the following formulas.
According to this theory, it can be obtained Fabrics of various different textures with high density. Density conversion relationships between various tissues.








4. Imitation method
This method is more commonly used in the imitation design of colored fabrics.
(1) Imitation of strip and grid types
Products with equal number of warp threads per reed
(1) Comparison method. This is a simple imitation method. When imitating, you only need to select a piece of finished fabric that has the same technical specifications as the product, place it next to the sample to be imitated, take out a pattern cycle of the sample, and place the pattern within the pattern cycle. Compare the arrangement order of each color with the finished fabric, and write down the number of finished fabrics corresponding to the strips and grids of each color.
Using this method to imitate the strip and grid patterns of the attached sample is simple and accurate. You can also ignore the finishing coefficient of the product in each finishing process, but you must have a finished fabric that meets the specifications before you can adopt this method. method.
(2) Ratio method. The specific steps of this imitation method are:
① Write down the arrangement order of the sample flowers and the number of roots of each color.
② Find the ratio of the warp density of the sample to the warp density of the product (finished product warp density), and the ratio of the weft density of the sample to the weft density of the product.
③The product of the ratio and the number of roots of each color of the sample is the number of roots per flower of the product (if there are decimals, they should be corrected).

Sum the ratio calculated above The product of the number of roots of each color in the sample is the number of roots in the sample.
Use the ratio method to imitate bar and grid patterns with good accuracy. For products that require a square grid pattern, when correcting the number of roots, the increase or decrease in the number of roots of each color must be considered to meet the requirements of a square grid pattern.
(3) Measurement and estimation method. This method is generally used when imitating cardboard samples and large grid samples. The steps for imitation are:
①Measure the width of each color within the sample, accurate to 1mm.
②Multiply the width of each color by the density of the finished product to find the number of pieces of each color.
③Correction and calculation of the number of warp and weft yarns.
When adopting this imitation method, the measurement must be accurate, otherwise it will affect the imitation effect. At the same time, when correcting the number of warp and weft yarns, the square requirements of the product row must also be taken into consideration.





p>

AAADFGE465IU8GHYJ


